Вы уверенно решали задачу, но в ответе — минус. Знакомо? Одна пропущенная мелочь с рациональными числами может перечеркнуть всю вашу работу. Узнайте, как этого избежать.
Тема: Рациональные числа. Действия с рациональными числами. Сравнение чисел, арифметические операции.
(План-конспект урока №7)
Цель:
Научиться уверенно выполнять действия с рациональными числами и сравнивать их.
Оборудование: Ручка, тетрадь, хорошее настроение и уверенность в себе.
Ход урока (60 минут)
1. Разминка и введение (5 минут)
«Привет! Сегодня мы будем командовать всеми числами: положительными, отрицательными, дробями и целыми. Все они — рациональные! Наша задача — научиться быстро и без ошибок их складывать, вычитать, умножать, делить и сравнивать. Всё проще, чем кажется!»
2. Теория: Повторяем главные правила (15 минут)
Действия с рациональными числами:
1. Сложение и вычитание:
2. Умножение и деление:
3. Сравнение чисел:
3. Практика: Решаем задачи (25 минут)
Задача 1 (Простая):
Задача 2 (Средняя):
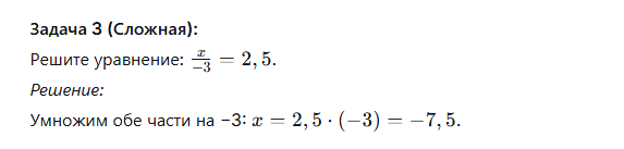
Задача 3 (Сложная):
Задача 4 (ОГЭ-style):
4. Итог урока и домашнее задание (15 минут)
Итог:
«Сегодня мы убедились, что действия с рациональными числами подчиняются простым и логичным правилам. Главное — внимательно следить за знаками и помнить, что отрицательные числа живут по своим, но очень понятным законам!»
Домашнее задание (5 задач из сборника Ященко):
Удачи! На следующем уроке будем решать задачи на проценты. 😊









Оставить комментарий